Algoritma ve Java Programlama Dilindeki Karşılıkları

Verilen algoritmanın javada kodlarının yazılması ve çalıştırılması

Algoritma ve Java Programlama Dilindeki Karşılıkları

Yukardaki Akış Diagramına ait Java Kodları aşağıdaki gibidir.

 

import javax.swing.JApplet;
import javax.swing.JOptionPane;

public class ornek1 extends JApplet {


    public void init() {
       
        int sayac=0;
        int top=0;
        int x=0;
       
        do{
           
        x=Integer.parseInt(JOptionPane.showInputDialog("x degerini giriniz?"));
       
        top=top+x;
        sayac=sayac+1;
       
        }
        while(sayac<5);
       
        JOptionPane.showMessageDialog(null, "Sayac="+ sayac + " Top=" + top);
           
    }

}

 

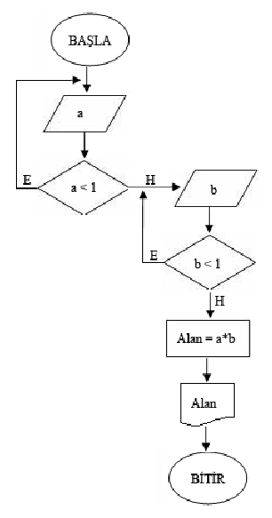
Algoritma ve Java Programlama Dilindeki Karşılıkları

Yukardaki Akış Diagramının Algoritması

A1 :sayac = 0
A2 :a değerini gir.
A3 :Eğer a < 0 A2'ye git.
A4 :toplam = toplam + a
A5 : Eğer sayac < 5 A2' ye git
A6 :Toplam değerini yaz.
A7 :Bitir.
 

Yukardaki Akış Diagramına ait Java Kodları aşağıdaki gibidir.

 


import javax.swing.JApplet;
import javax.swing.JOptionPane;

public class ornek1 extends JApplet {

    public void init() {

        int a = 0;
        int b = 0;
        int Alan=0;

        do {
            a = Integer.parseInt(JOptionPane.showInputDialog("a degerini giriniz?"));
        } while (a < 1);

        do {
            b = Integer.parseInt(JOptionPane.showInputDialog("b degerini giriniz?"));
        } while (b < 1);

       
        Alan=a*b;
       
        JOptionPane.showMessageDialog(null, "Alan=" + Alan);

    }
}
 

 

Yükleniyor...
    Yükleniyor...